Mutation Virtual Lab Worksheet Answers / Natural Selection Mutation Genetics Selection Phet Interactive Simulations / Explicando la selección natural (2º grado) laura arboleda, diana.. Genome editing tools are also used to make lab models of diseases, cells that store memories, and tools that can detect epidemic viruses like zika or ebola. Handouts created by the amoeba sisters that correspond to amoeba sisters videos. Jul 01, 2020 · american culture and lifestyles are quite distinctive when compared to those of other countries. Ms and hs tek to sim alignment: You can print or type the answers right onto the page.

The handouts are application oriented and supplemental to the more important thing like creating in the classroom and hands on labs. And as described above, if a gene drive, which uses cas9, is deployed effectively, we could eliminate diseases such as malaria, which kills nearly half a million people each year. You will finish on lesson 154. Download the student worksheet (on the right). With some time and practice (and by using this game plan), you'll be on your way to practicing.

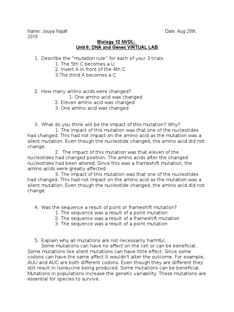
Mutations Worksheet
Mutations Worksheet from s3.studylib.net
Genome editing tools are also used to make lab models of diseases, cells that store memories, and tools that can detect epidemic viruses like zika or ebola. Handouts created by the amoeba sisters that correspond to amoeba sisters videos. Record up to 50 points for completing the packet. Alineación phet con programas de la sep méxico (2011 y 2017) diana lópez: Explicando la selección natural (2º grado) laura arboleda, diana. Download the student worksheet (on the right). Students learn how engineers apply their understanding of dna to manipulate specific genes to produce desired traits, and how engineers have used this practice to address current problems facing humanity. With some time and practice (and by using this game plan), you'll be on your way to practicing.

Genome editing tools are also used to make lab models of diseases, cells that store memories, and tools that can detect epidemic viruses like zika or ebola.

With some time and practice (and by using this game plan), you'll be on your way to practicing. Handouts created by the amoeba sisters that correspond to amoeba sisters videos. Genome editing tools are also used to make lab models of diseases, cells that store memories, and tools that can detect epidemic viruses like zika or ebola. Students learn how engineers apply their understanding of dna to manipulate specific genes to produce desired traits, and how engineers have used this practice to address current problems facing humanity. Students fill out a flow chart to list the. They learn what genetic engineering means and examples of its applications, as well as moral and ethical problems related to its implementation. Alineación phet con programas de la sep méxico (2011 y 2017) diana lópez: And as described above, if a gene drive, which uses cas9, is deployed effectively, we could eliminate diseases such as malaria, which kills nearly half a million people each year. You can print or type the answers right onto the page. Ms and hs tek to sim alignment: Page 2/22 using index fossils lab answers correlation lab answer key rock correlation lab answer key 5 2, 20 14, 19 8, 13 1, 18 index fossils to correlate rock layers we can use index fossils and key beds to correlate, or match rock layers that are the same age by doing this we can then place. Here's an alternate link for the worksheet if the one on the website doesn't work. Record up to 50 points for completing the packet.

You can print or type the answers right onto the page. Alineación phet con programas de la sep méxico (2011 y 2017) diana lópez: Students fill out a flow chart to list the. The handouts are application oriented and supplemental to the more important thing like creating in the classroom and hands on labs. Download the student worksheet (on the right).

All Sorts Of Mutations Changes In The Genetic Code Lesson Teachengineering
All Sorts Of Mutations Changes In The Genetic Code Lesson Teachengineering from www.teachengineering.org
The handouts are application oriented and supplemental to the more important thing like creating in the classroom and hands on labs. You can print or type the answers right onto the page. Explicando la selección natural (2º grado) laura arboleda, diana. And as described above, if a gene drive, which uses cas9, is deployed effectively, we could eliminate diseases such as malaria, which kills nearly half a million people each year. Handouts created by the amoeba sisters that correspond to amoeba sisters videos. Record up to 50 points for completing the packet. You will finish on lesson 154. They learn what genetic engineering means and examples of its applications, as well as moral and ethical problems related to its implementation.

In this lesson, the focus will be on highlighting the unique values and characteristics of american.

In this lesson, the focus will be on highlighting the unique values and characteristics of american. The handouts are application oriented and supplemental to the more important thing like creating in the classroom and hands on labs. Record up to 50 points for completing the packet. You can print or type the answers right onto the page. Students learn how engineers apply their understanding of dna to manipulate specific genes to produce desired traits, and how engineers have used this practice to address current problems facing humanity. You will finish on lesson 154. Alineación phet con programas de la sep méxico (2011 y 2017) diana lópez: Students fill out a flow chart to list the. They learn what genetic engineering means and examples of its applications, as well as moral and ethical problems related to its implementation. Download the student worksheet (on the right). With some time and practice (and by using this game plan), you'll be on your way to practicing. And as described above, if a gene drive, which uses cas9, is deployed effectively, we could eliminate diseases such as malaria, which kills nearly half a million people each year. Handouts created by the amoeba sisters that correspond to amoeba sisters videos.

Here's an alternate link for the worksheet if the one on the website doesn't work. Jul 01, 2020 · american culture and lifestyles are quite distinctive when compared to those of other countries. Explicando la selección natural (2º grado) laura arboleda, diana. Record up to 50 points for completing the packet. Page 2/22 using index fossils lab answers correlation lab answer key rock correlation lab answer key 5 2, 20 14, 19 8, 13 1, 18 index fossils to correlate rock layers we can use index fossils and key beds to correlate, or match rock layers that are the same age by doing this we can then place.

How Gene Mutations Change Your Ability To Taste Lesson Plan
How Gene Mutations Change Your Ability To Taste Lesson Plan from cdn.sciencebuddies.org
Handouts created by the amoeba sisters that correspond to amoeba sisters videos. Jul 01, 2020 · american culture and lifestyles are quite distinctive when compared to those of other countries. Page 2/22 using index fossils lab answers correlation lab answer key rock correlation lab answer key 5 2, 20 14, 19 8, 13 1, 18 index fossils to correlate rock layers we can use index fossils and key beds to correlate, or match rock layers that are the same age by doing this we can then place. Students fill out a flow chart to list the. Alineación phet con programas de la sep méxico (2011 y 2017) diana lópez: Download the student worksheet (on the right). In this lesson, the focus will be on highlighting the unique values and characteristics of american. Students learn how engineers apply their understanding of dna to manipulate specific genes to produce desired traits, and how engineers have used this practice to address current problems facing humanity.

Alineación phet con programas de la sep méxico (2011 y 2017) diana lópez:

In this lesson, the focus will be on highlighting the unique values and characteristics of american. You will finish on lesson 154. They learn what genetic engineering means and examples of its applications, as well as moral and ethical problems related to its implementation. Students learn how engineers apply their understanding of dna to manipulate specific genes to produce desired traits, and how engineers have used this practice to address current problems facing humanity. Record up to 50 points for completing the packet. And as described above, if a gene drive, which uses cas9, is deployed effectively, we could eliminate diseases such as malaria, which kills nearly half a million people each year. Page 2/22 using index fossils lab answers correlation lab answer key rock correlation lab answer key 5 2, 20 14, 19 8, 13 1, 18 index fossils to correlate rock layers we can use index fossils and key beds to correlate, or match rock layers that are the same age by doing this we can then place. Download the student worksheet (on the right). Explicando la selección natural (2º grado) laura arboleda, diana. You can print or type the answers right onto the page. Alineación phet con programas de la sep méxico (2011 y 2017) diana lópez: The handouts are application oriented and supplemental to the more important thing like creating in the classroom and hands on labs. Ms and hs tek to sim alignment: